HOME > Á¤¹ÐÈ­ÇÐ



¸ÇÅç
MENTHOL
È­ÇÐ½Ä :C10H20O
CAS.NO :89-78-1
¸ÞÀÌÄ¿ :¼öÀÔ(½Ì°¡Æú)
¼øµµ :99%
Æ÷Àå :25KG/Drum
º°¸í :(1ALPHA,2BETA,5ALPHA),5-METHYL-2-(1-METHYLETHYL)-CYCLOHEXANOL; CIS-1,3,TRANS-1,4-MENTHOL; HEXAHYDROTHYMOL; MENTHACAMPHOR; PEPPERMINT CAMPHOR; L-MENTHOL; P-MENTHAN-3-OL ;¸àÅç; Æä¹ÎƮįÆ÷; ¸àÅä¸àÆ®¿Ã; (1¾ËÆÄ,2º£Å¸,5¾ËÆÄ),5-¸ÞÆ¿-2-(1-¸ÞÆ¿¿¡Æ¿)-½ÃŬ·ÎÇí»ê¿Ã; ½Ã½º-1,3,Æ®·£½º-1,4-¸àÅç; Çí»çÇÏÀ̵å·ÎƼ¸ô; ¸àŸįÆ÷;¸ÇÅç
±¸¸Å¼ö·® :
°³
ÃÑ ±Ý¾× :
°ßÀûÀÇ·ÚÇϱâ
»ó¼¼ÆäÀÌÁö
 
 
¿Ü±¹¾î Ç¥±âMenthol(µ¶ÀϾî)
È­ÇнÄC10H20O
ºÐÀÚ·®156

C10H20O£½156. ¸ð³ëÅ׸£Ææ¾ËÄÚ¿ÃÀÇ Çϳª.

[1] d-

¡¼Á¦¹ý¡½
dl-¸àÅçÀÇ »ê¼º ÇÁÅ»»ê¿¡½ºÅ׸£¸¦ ºê·ç½Å¿°À¸·Î ÇØ¼­ ±¤ÇÐ ºÐȹÇÑ´Ù.

¡¼¼ºÁú¡½
³ì´ÂÁ¡ 42¡É. [¥á]D £«48.15¡Æ(¿¡Åº¿Ã Áß).

¡¼À¯µµÃ¼¡½
Æä´Ò¿ì·¹Åº C10H19(OCONHC6H5) : ³ì´ÂÁ¡ 112~113¡É.

¸àÅç º»¹® À̹ÌÁö 1

[2] l-, ¹ÚÇϳú(6±¹) [çÈ Pfefferminzkampfer]

¡¼Á¸À硽
¹ÚÇÏÀ¯ ÁßÀÇ ÁÖ¼ººÐÀÌ´Ù.

¡¼¼ºÁú¡½
ƯÀÌÀÇ »óÄèÇÑ ³¿»õ¸¦ Áö´Ï°í ¸ÀÀº óÀ½¿¡ ¾à¿ëÀ¸·Î, ³ªÁß¿¡´Â û·®ÇÏ°Ô µÇ´Â ¹«»ö ¹Ù´Ã ¸ð¾ç °áÁ¤(¿¡Åº¿Ã¿¡¼­ Àç°áÁ¤). ³ì´ÂÁ¡ 43¡É, ²ú´ÂÁ¡ 216. 0.9007 £­49¡Æ21'(¿¡Åº¿Ã Áß).

¡¼¿ëµµ¡½
û·®Á¦, ÁøÅëÁ¦, ÁøÁ¤Á¦·Î À§Åë, ±¸Åä¿¡ ¸Ô´Â´Ù. ¿ë·® : 1ÀÏ 0.03~0.12g. Ä¡Åë, ¿äÅë, ½Å°æÅë, ¹ú·¹ ¹°¸° µ¥ µî¿¡ 1~2%. ¾ËÄÚ¿Ã ¿ë¾×À» ¿Ü¿ëÇÑ´Ù.

¡¼À¯µµÃ¼¡½
Æä´Ò¿ì·¹Åº : ³ì´ÂÁ¡ 112¡É. p-´ÏÆ®·Îº¥Á¶¿¡ÀÌÆ® C10H19(OCOC6H4NO2-4) : ³ì´ÂÁ¡ 61~62¡É.

[3] dl-

¡¼Á¦¹ý¡½
Ƽ¸ôÀ» ´Ï°Ö Ã˸ſ¡¼­ 140~200¡É·Î °¡¾Ð¼ö ÷°¡ÇÏ¸é ´Ù¸¥ À̼ºÁúü¿Í ÇÔ²² ¾ò¾îÁø´Ù.

¡¼¼ºÁú¡½
³ì´ÂÁ¡ 35~36¡É, ²ú´ÂÁ¡ 103~105¡É/16mm.

¡¼À¯µµÃ¼¡½
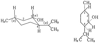
Æä´Ò¿ì·¹Åº : ³ì´ÂÁ¡ 102~104¡É. p-´ÏÆ®·Îº¥Á¶¿¡ÀÌÆ® : ³ì´ÂÁ¡ 91¡É. ¸àÅç, À̼ҸàÅç, ³×¿À¸àÅç, ³×¿ÀÀ̼ҸàÅçÀÇ ÀÔü ¹èÄ¡¸¦ ÀϰýÇÏ¸é ´ÙÀ½°ú °°´Ù.

¸àÅç

¸àÅç

À̼ҸàÅç

À̼ҸàÅç

³×¿À¸àÅç

³×¿À¸àÅç

³×¿ÀÀ̼ҸàÅç

³×¿ÀÀ̼ҸàÅç

(´Ü e´Â Àûµµ°áÇÕ, a´Â Ãà°áÇÕÀ» ³ªÅ¸³¿)

⇀ À̼ҸàÅç, ³×¿À¸àÅç, ³×¿ÀÀ̼ҸàÅç

µ¿ÀǾî
¸àÅä¸àÅç(menthomenthol, Menthomenthol), Çí»çÈ÷µå·ÎƼ¸ô(hexahydrothymol, Hexahydrothymol)

Ãâó   È­Çдë»çÀü, 2001. 5. 20. Ç¥Á¦¾î Àüüº¸±â  
±Ù´ëÇй®ÀÇ Æ¯Â¡Àº ±× ÀÚü¿¡¼­ ±íÀÌ ¹ßÀüÀ» ÀÌ·ë°ú µ¿½Ã¿¡ ´Ù¸¥ ºÐ¾ß¿Í ±¤¹üÀ§ÇÏ°Ô °ü·ÃÀ» ÀÌ·ç¸é¼­ ¹ßÀüÀÇ ±íÀ̸¦ ´õÇØ °¡°í Àִµ¥ ÀÖ´Ù. µû¶ó¼­ ÇϳªÀÇ ÀÛ¾÷À» ÇÏ´Â µ¥¿¡´Â ±íÀº...ÀÚ¼¼È÷º¸±â
ÀúÀÚ ¼¼È­ ÆíÁýºÎ
Á¦°øÃ³
¼¼È­ http://www.sehwapub.co.kr ¼¼È­ ·Î°í, Á¦°øÃ³ÀÇ ´Ù¸¥ Ã¥º¸±â

[³×À̹ö Áö½Ä¹é°ú] ¸àÅç [menthol] (È­Çдë»çÀü, 2001. 5. 20., ¼¼È­)